E Hv Problems





E Hv

E Hv

What Does The Equation E Hv Mean Quora

What Does The Equation E Hv Mean Quora

Ch4 Lesson 5 Calculations Ii E H V

Ch4 Lesson 5 Calculations Ii E H V

Ch4 Lesson 5 Calculations Ii E H V

Ch4 Lesson 5 Calculations Ii E H V

Problems With Rutherford S Model Why Do Elements Produce Spectral Lines Instead Of A Continuous Spectrum And Why Aren T The Negative Electrons Pulled Ppt Download

Problems With Rutherford S Model Why Do Elements Produce Spectral Lines Instead Of A Continuous Spectrum And Why Aren T The Negative Electrons Pulled Ppt Download

Quantized Energy And Photons Chemistry Tutorial Youtube

Quantized Energy And Photons Chemistry Tutorial Youtube

Quantized Energy And Photons Chemistry Tutorial Youtube

Here is another simple division problem.

E hv problems. What is the energy of exactly one photon of this microwave radiation. 2 determine the frequency of the photon. This type of problem is good practice at rearranging equations using correct units and tracking significant figures. In 1900 max plank found a theoretical formula that exactly describes the intensity of light of various frequencies emitted by a hot solid at different temperature according to plan the atoms of the solid oscillate or vibrate with a definite frquency depending on the solid but in order to reproduce the results of experiments on he found it necessary to accept a strange idea a vibrating atom.

Is the frequency of the light in s 1 or waves s also called hertz hz. Energy plank s constant frequency e hv v e h v 1 4 10 21 j 6 626 10 34 js v 2 1 10 12 1 s for the love of physics walter lewin may 16 2011 duration. E hv is used to calculate the energy of electromagnetic radiation and is known as the planck einstein relation. This example problem demonstrates how to find the energy of a photon from its wavelength to do this you need to use the wave equation to relate wavelength to frequency and planck s equation to find the energy.

Calculate the wavelength and frequency of a photon having the energy of 8 93 x 10 10 j mol. E is the energy of electromagnetic radiation h is the planck constant and v is the frequency of electromagnetic radiation. Is the wavelength there are 1 x109 nanometers in one meter. 590 khz 590 10 3 hz 3 x 10 8 m s 590 x 10 3 hz 500m.

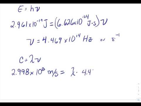
E hν 1 4829 x 10 13 j 6 626 x 10 34 j s ν ν 1 4829 x 10 13 j 6 626 x 10 34 j s. Is the speed of light. E is the energy of the light in joules j h. See formula is like dis.

Here we need to use two equations. C 3 00 x 108 meters sec. Is a constant which is 6 626 x 10 34 j s and. Microwave ovens emit microwave energy with a wavelength of 12 9 cm.

E hv c λv. Example of the use of e hv duration. Frequency of radiation f c l the place c is velocity of sunshine in vaccum ie 3 10 8 m sec and l is wavelength of the radiation so via putting wavelength 850 nm 850 10 9 m u gets frequency of given wavelength 3 529 10 14 and unit is sec a million wish u get d maximum suitable answer.

Atomic Structure Chapter 7 All Bold Numbered Problems Ppt Video Online Download

Atomic Structure Chapter 7 All Bold Numbered Problems Ppt Video Online Download

Ppt Chp 5 Problems Relay Powerpoint Presentation Free Download Id 2763535

Ppt Chp 5 Problems Relay Powerpoint Presentation Free Download Id 2763535

Planck S Equation E Hv

Planck S Equation E Hv

Physics 8 1 1 2 Solving Problem Involving The Energy Of A Photon Using The Equation E Hf Youtube

Physics 8 1 1 2 Solving Problem Involving The Energy Of A Photon Using The Equation E Hf Youtube

Ch4 Lesson 5 Calculations Ii E H V

Ch4 Lesson 5 Calculations Ii E H V

Problems 1 5 Refer To The Linear Model Y Xb E W Chegg Com

Problems 1 5 Refer To The Linear Model Y Xb E W Chegg Com

Solved What Are The 2 Main Hv Potential Dividers Their P Chegg Com

Solved What Are The 2 Main Hv Potential Dividers Their P Chegg Com

1 1 The Nature Of Light Problems Chemistry Libretexts

1 1 The Nature Of Light Problems Chemistry Libretexts

Dual Nature Of Radiation And Matter Ncert Exemplar Problems Solutions Physics Imperial Study

Dual Nature Of Radiation And Matter Ncert Exemplar Problems Solutions Physics Imperial Study

Midterm 1 Solved Problems Pdf Document

Midterm 1 Solved Problems Pdf Document

Quantum Theory Problems Name E Hv C V E Is The Energy Of The Light In Joules J H Is A Constant Which Is 6 626 X 10 34 Js And V Is

Quantum Theory Problems Name E Hv C V E Is The Energy Of The Light In Joules J H Is A Constant Which Is 6 626 X 10 34 Js And V Is

Answered For The Following Homework Problems Bartleby

Answered For The Following Homework Problems Bartleby

Https Nanopdf Com Download 1the First Step In This Problem Is To Convert The Wavelength To A Pdf

Https Nanopdf Com Download 1the First Step In This Problem Is To Convert The Wavelength To A Pdf

Properties Of Light Ppt Download

Properties Of Light Ppt Download

Source : pinterest.com